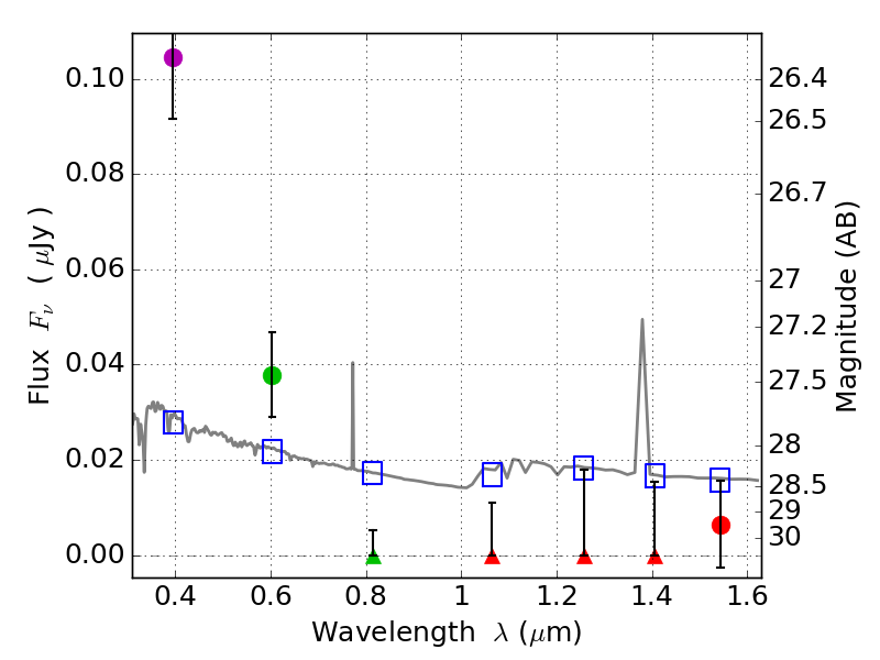
RXS0603+42-N IR detection object #3939

Color images and BPZ results
Catalog: 3939.cat
Black segments are analyzed here.   Roll mouse over color images to view segments.
Best viewed in a wide browser window (1200 pixels or more).   Download SED & P(z) plots to view larger versions.
In P(z) plots: Yellow lines mark the cluster redshift z = 0.228,  

Object #3939   x,y = (3164, 2166)   RA, Dec = (06:03:10.560, 42:15:27.72) = (90.79400, 42.25770)   BPZ = 1.764 [1.208--2.419]   type = 11.00 (SB11_A_0_l)   stellarity = 0.49   chisq2 = 13.08   ODDS = 0.36   z_cluster = 0.228