RXS0603+42-N IR detection object #3849

Color images and BPZ results
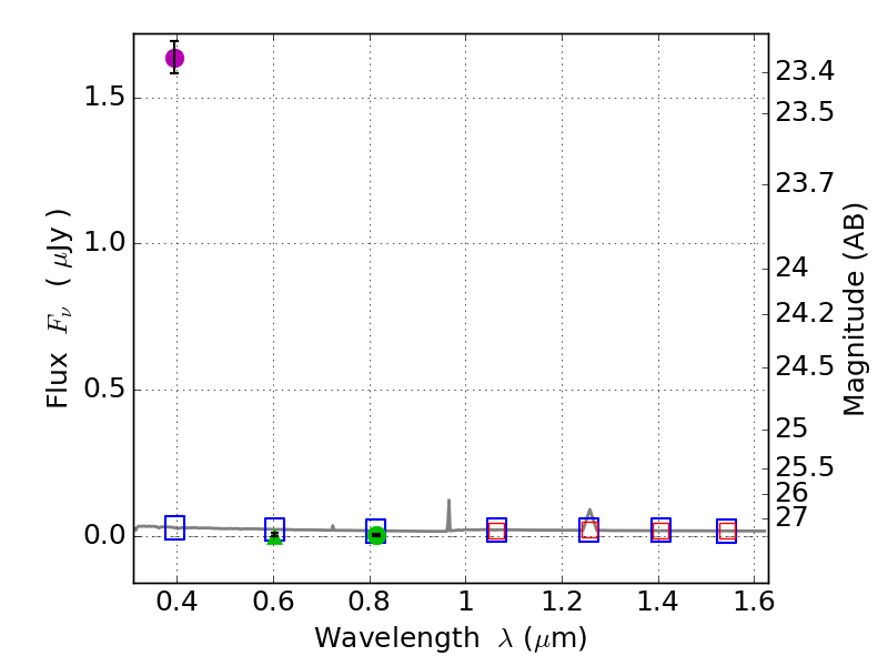
Catalog: 3849.cat
Black segments are analyzed here.   Roll mouse over color images to view segments.
Best viewed in a wide browser window (1200 pixels or more).   Download SED & P(z) plots to view larger versions.
In P(z) plots: Yellow lines mark the cluster redshift z = 0.228,  

Object #3849   x,y = (1534, 2199)   RA, Dec = (06:03:19.368, 42:15:29.52) = (90.83070, 42.25820)   BPZ = 1.595 [0.878--2.410]   type = 11.00 (SB11_A_0_l)   stellarity = 0.99   chisq2 = 866.30   ODDS = 0.25   z_cluster = 0.228