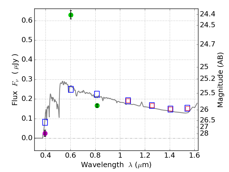
RXS0603+42-N IR detection object #3840

Color images and BPZ results
Catalog: 3840.cat
Black segments are analyzed here.   Roll mouse over color images to view segments.
Best viewed in a wide browser window (1200 pixels or more).   Download SED & P(z) plots to view larger versions.
In P(z) plots: Yellow lines mark the cluster redshift z = 0.228,  

Object #3840   x,y = (4073, 2200)   RA, Dec = (06:03:05.640, 42:15:29.52) = (90.77350, 42.25820)   BPZ = 3.194 [3.085--3.306]   type = 11.00 (SB11_A_0_l)   stellarity = 0.80   chisq2 = 207.10   ODDS = 1.00   z_cluster = 0.228