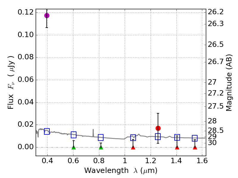
RXS0603+42-N IR detection object #3839

Color images and BPZ results
Catalog: 3839.cat
Black segments are analyzed here.   Roll mouse over color images to view segments.
Best viewed in a wide browser window (1200 pixels or more).   Download SED & P(z) plots to view larger versions.
In P(z) plots: Yellow lines mark the cluster redshift z = 0.228,  

Object #3839   x,y = (1825, 2216)   RA, Dec = (06:03:17.808, 42:15:30.60) = (90.82420, 42.25850)   BPZ = 1.698 [0.643--2.574]   type = 11.00 (SB11_A_0_l)   stellarity = 0.59   chisq2 = 25.65   ODDS = 0.30   z_cluster = 0.228