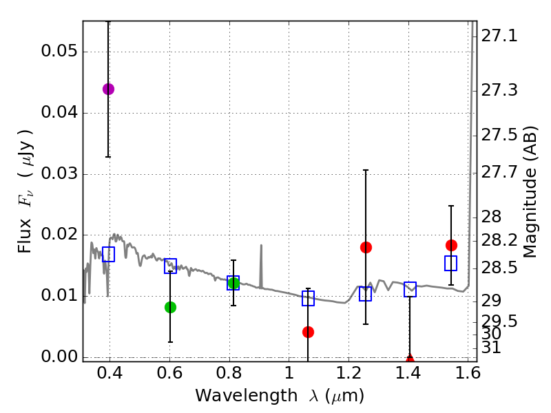
RXS0603+42-N IR detection object #3807

Color images and BPZ results
Catalog: 3807.cat
Black segments are analyzed here.   Roll mouse over color images to view segments.
Best viewed in a wide browser window (1200 pixels or more).   Download SED & P(z) plots to view larger versions.
In P(z) plots: Yellow lines mark the cluster redshift z = 0.228,  

Object #3807   x,y = (2758, 2222)   RA, Dec = (06:03:12.744, 42:15:30.96) = (90.80310, 42.25860)   BPZ = 2.237 [0.353--3.110]   type = 11.00 (SB11_A_0_l)   stellarity = 0.45   chisq2 = 2.38   ODDS = 0.15   z_cluster = 0.228