RXS0603+42-N IR detection object #3775

Color images and BPZ results
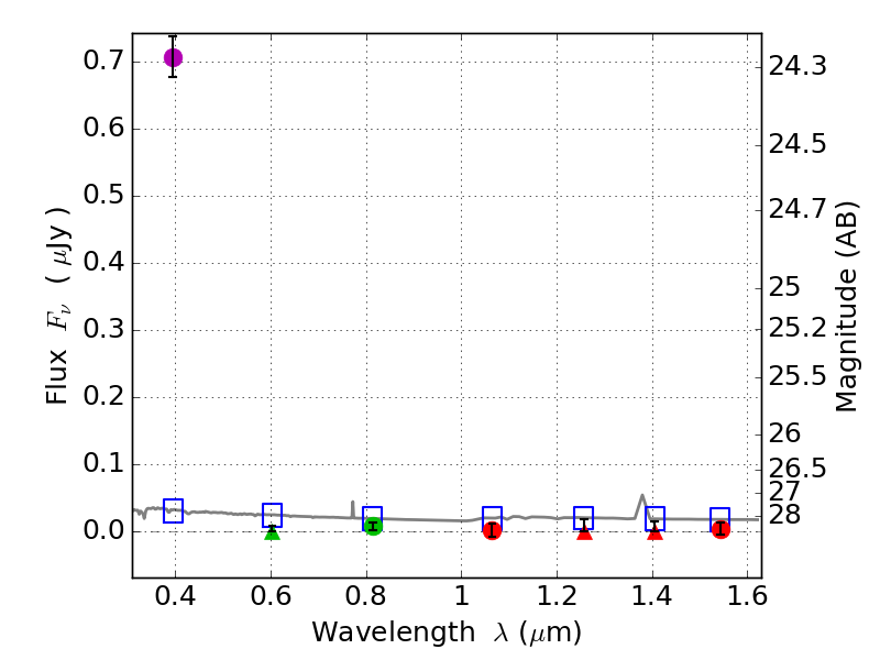
Catalog: 3775.cat
Black segments are analyzed here.   Roll mouse over color images to view segments.
Best viewed in a wide browser window (1200 pixels or more).   Download SED & P(z) plots to view larger versions.
In P(z) plots: Yellow lines mark the cluster redshift z = 0.228,  

Object #3775   x,y = (2670, 2232)   RA, Dec = (06:03:13.224, 42:15:31.68) = (90.80510, 42.25880)   BPZ = 1.763 [1.025--2.255]   type = 11.00 (SB11_A_0_l)   stellarity = 0.64   chisq2 = 134.10   ODDS = 0.42   z_cluster = 0.228