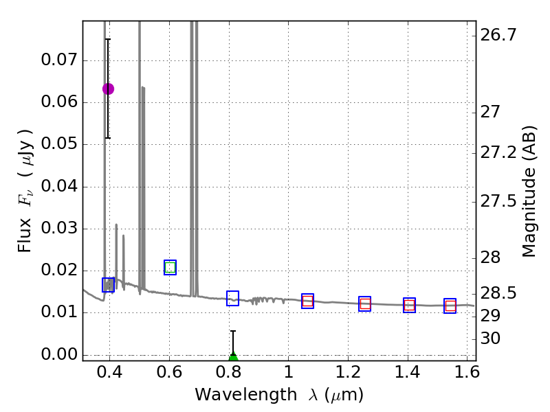
RXS0603+42-N IR detection object #3770

Color images and BPZ results
Catalog: 3770.cat
Black segments are analyzed here.   Roll mouse over color images to view segments.
Best viewed in a wide browser window (1200 pixels or more).   Download SED & P(z) plots to view larger versions.
In P(z) plots: Yellow lines mark the cluster redshift z = 0.228,  

Object #3770   x,y = (4513, 2235)   RA, Dec = (06:03:03.264, 42:15:31.68) = (90.76360, 42.25880)   BPZ = 0.033 [0.019--0.835]   type = 11.00 (SB11_A_0_l)   stellarity = 0.47   chisq2 = 21.03   ODDS = 0.20   z_cluster = 0.228