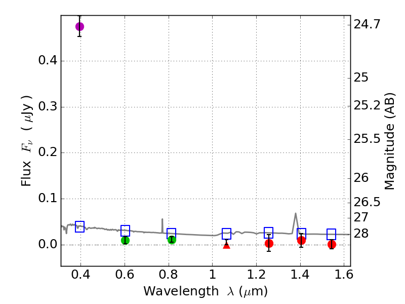
RXS0603+42-N IR detection object #3768

Color images and BPZ results
Catalog: 3768.cat
Black segments are analyzed here.   Roll mouse over color images to view segments.
Best viewed in a wide browser window (1200 pixels or more).   Download SED & P(z) plots to view larger versions.
In P(z) plots: Yellow lines mark the cluster redshift z = 0.228,  

Object #3768   x,y = (2602, 2236)   RA, Dec = (06:03:13.584, 42:15:31.68) = (90.80660, 42.25880)   BPZ = 1.763 [1.427--2.164]   type = 11.00 (SB11_A_0_l)   stellarity = 0.73   chisq2 = 95.08   ODDS = 0.53   z_cluster = 0.228