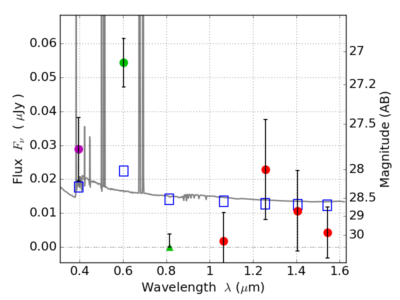
RXS0603+42-N IR detection object #3767

Color images and BPZ results
Catalog: 3767.cat
Black segments are analyzed here.   Roll mouse over color images to view segments.
Best viewed in a wide browser window (1200 pixels or more).   Download SED & P(z) plots to view larger versions.
In P(z) plots: Yellow lines mark the cluster redshift z = 0.228,  

Object #3767   x,y = (3819, 2519)   RA, Dec = (06:03:07.008, 42:15:48.96) = (90.77920, 42.26360)   BPZ = 0.028 [0.025--2.836]   type = 11.00 (SB11_A_0_l)   stellarity = 0.43   chisq2 = 8.83   ODDS = 0.07   z_cluster = 0.228