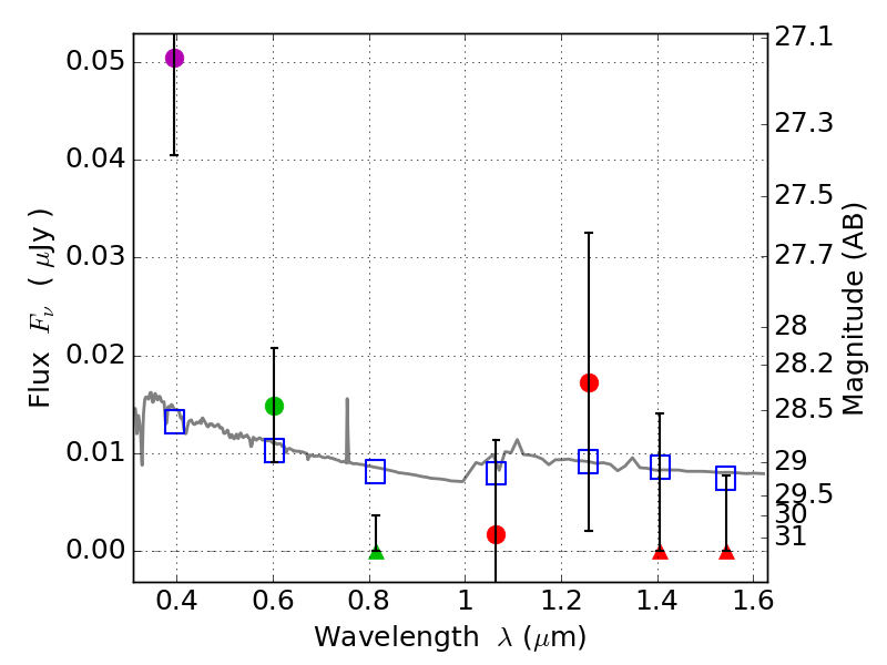
RXS0603+42-N IR detection object #3757

Color images and BPZ results
Catalog: 3757.cat
Black segments are analyzed here.   Roll mouse over color images to view segments.
Best viewed in a wide browser window (1200 pixels or more).   Download SED & P(z) plots to view larger versions.
In P(z) plots: Yellow lines mark the cluster redshift z = 0.228,  

Object #3757   x,y = (3516, 2237)   RA, Dec = (06:03:08.664, 42:15:32.04) = (90.78610, 42.25890)   BPZ = 1.697 [0.373--3.316]   type = 11.00 (SB11_A_0_l)   stellarity = 0.38   chisq2 = 5.21   ODDS = 0.20   z_cluster = 0.228