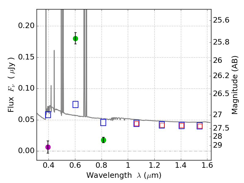
RXS0603+42-N IR detection object #3732

Color images and BPZ results
Catalog: 3732.cat
Black segments are analyzed here.   Roll mouse over color images to view segments.
Best viewed in a wide browser window (1200 pixels or more).   Download SED & P(z) plots to view larger versions.
In P(z) plots: Yellow lines mark the cluster redshift z = 0.228,  

Object #3732   x,y = (4020, 2247)   RA, Dec = (06:03:05.928, 42:15:32.40) = (90.77470, 42.25900)   BPZ = 0.019 [0.010--0.043]   type = 11.00 (SB11_A_0_l)   stellarity = 0.69   chisq2 = 144.20   ODDS = 1.00   z_cluster = 0.228