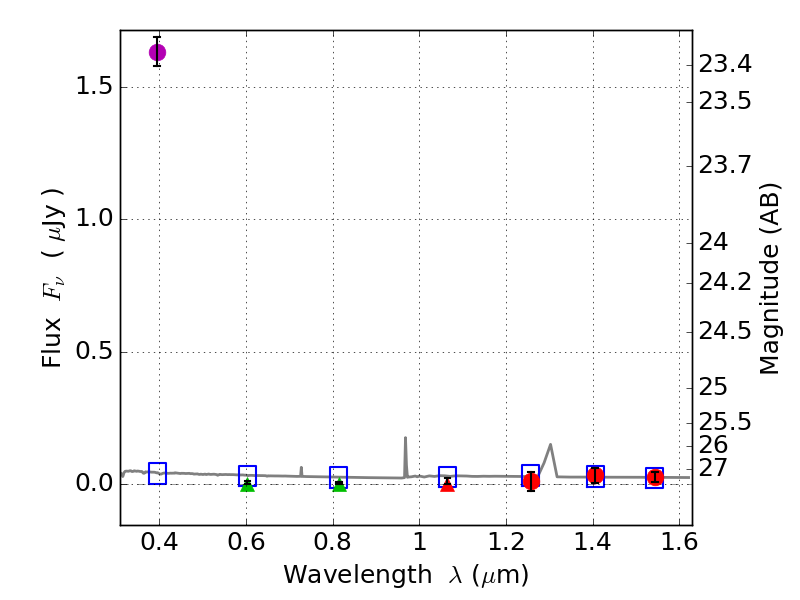
RXS0603+42-N IR detection object #3715

Color images and BPZ results
Catalog: 3715.cat
Black segments are analyzed here.   Roll mouse over color images to view segments.
Best viewed in a wide browser window (1200 pixels or more).   Download SED & P(z) plots to view larger versions.
In P(z) plots: Yellow lines mark the cluster redshift z = 0.228,  

Object #3715   x,y = (1596, 2253)   RA, Dec = (06:03:19.032, 42:15:32.76) = (90.82930, 42.25910)   BPZ = 1.599 [1.125--2.223]   type = 11.00 (SB11_A_0_l)   stellarity = 0.76   chisq2 = 228.50   ODDS = 0.30   z_cluster = 0.228