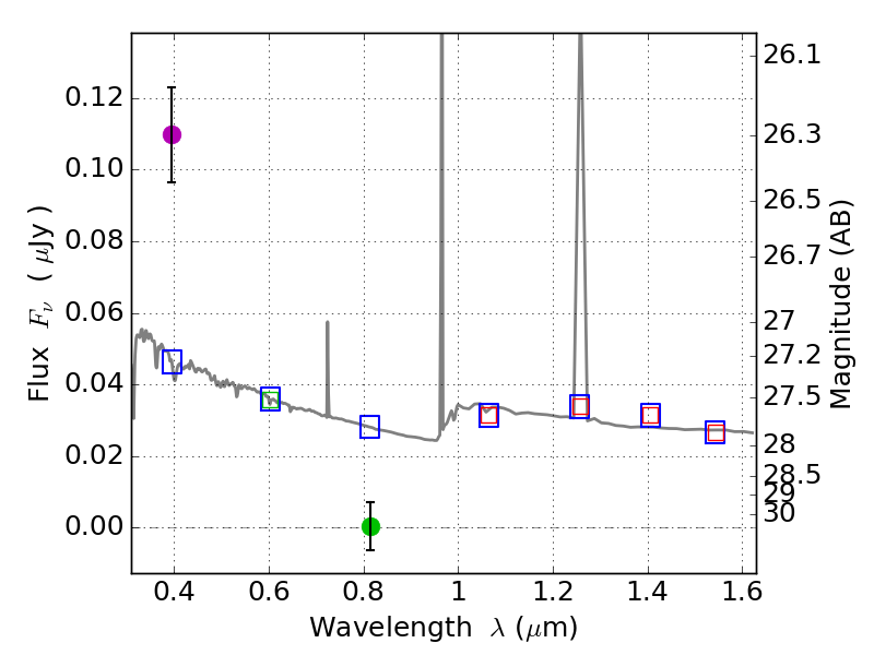
RXS0603+42-N IR detection object #3713

Color images and BPZ results
Catalog: 3713.cat
Black segments are analyzed here.   Roll mouse over color images to view segments.
Best viewed in a wide browser window (1200 pixels or more).   Download SED & P(z) plots to view larger versions.
In P(z) plots: Yellow lines mark the cluster redshift z = 0.228,  

Object #3713   x,y = (4516, 2254)   RA, Dec = (06:03:03.264, 42:15:32.76) = (90.76360, 42.25910)   BPZ = 1.595 [1.249--2.193]   type = 11.00 (SB11_A_0_l)   stellarity = 0.67   chisq2 = 35.67   ODDS = 0.34   z_cluster = 0.228