RXS0603+42-N IR detection object #3689

Color images and BPZ results
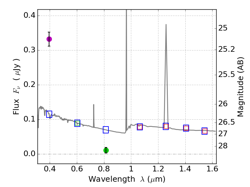
Catalog: 3689.cat
Black segments are analyzed here.   Roll mouse over color images to view segments.
Best viewed in a wide browser window (1200 pixels or more).   Download SED & P(z) plots to view larger versions.
In P(z) plots: Yellow lines mark the cluster redshift z = 0.228,  

Object #3689   x,y = (4540, 2264)   RA, Dec = (06:03:03.120, 42:15:33.48) = (90.76300, 42.25930)   BPZ = 1.594 [1.424--1.890]   type = 11.00 (SB11_A_0_l)   stellarity = 0.88   chisq2 = 130.50   ODDS = 0.63   z_cluster = 0.228