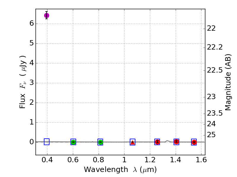
RXS0603+42-N IR detection object #3673

Color images and BPZ results
Catalog: 3673.cat
Black segments are analyzed here.   Roll mouse over color images to view segments.
Best viewed in a wide browser window (1200 pixels or more).   Download SED & P(z) plots to view larger versions.
In P(z) plots: Yellow lines mark the cluster redshift z = 0.228,  

Object #3673   x,y = (1561, 2271)   RA, Dec = (06:03:19.224, 42:15:33.84) = (90.83010, 42.25940)   BPZ = 1.693 [0.353--4.824]   type = 11.00 (SB11_A_0_l)   stellarity = 0.90   chisq2 = 285.60   ODDS = 0.13   z_cluster = 0.228