RXS0603+42-N IR detection object #3609

Color images and BPZ results
Catalog: 3609.cat
Black segments are analyzed here.   Roll mouse over color images to view segments.
Best viewed in a wide browser window (1200 pixels or more).   Download SED & P(z) plots to view larger versions.
In P(z) plots: Yellow lines mark the cluster redshift z = 0.228,  

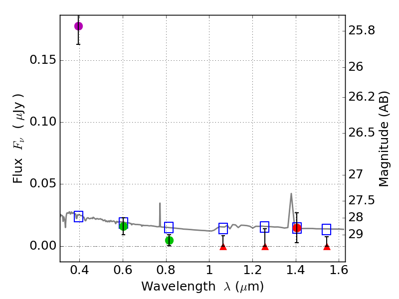
Object #3609   x,y = (2654, 2300)   RA, Dec = (06:03:13.320, 42:15:35.64) = (90.80550, 42.25990)   BPZ = 1.762 [1.086--2.370]   type = 11.00 (SB11_A_0_l)   stellarity = 0.83   chisq2 = 28.90   ODDS = 0.40   z_cluster = 0.228