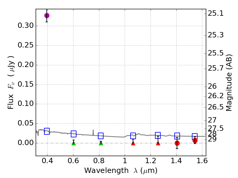
RXS0603+42-N IR detection object #3607

Color images and BPZ results
Catalog: 3607.cat
Black segments are analyzed here.   Roll mouse over color images to view segments.
Best viewed in a wide browser window (1200 pixels or more).   Download SED & P(z) plots to view larger versions.
In P(z) plots: Yellow lines mark the cluster redshift z = 0.228,  

Object #3607   x,y = (3050, 2301)   RA, Dec = (06:03:11.184, 42:15:35.64) = (90.79660, 42.25990)   BPZ = 1.700 [1.351--2.171]   type = 11.00 (SB11_A_0_l)   stellarity = 0.69   chisq2 = 80.67   ODDS = 0.50   z_cluster = 0.228