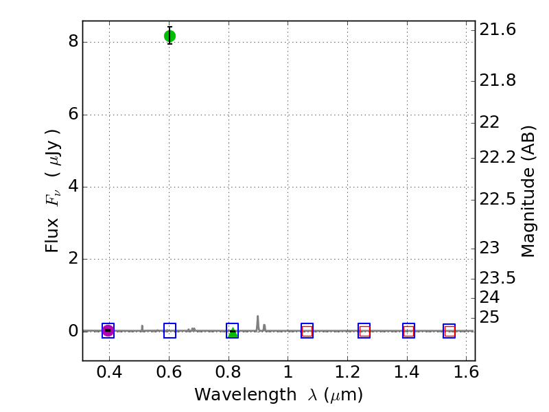
RXS0603+42-N IR detection object #3602

Color images and BPZ results
Catalog: 3602.cat
Black segments are analyzed here.   Roll mouse over color images to view segments.
Best viewed in a wide browser window (1200 pixels or more).   Download SED & P(z) plots to view larger versions.
In P(z) plots: Yellow lines mark the cluster redshift z = 0.228,  

Object #3602   x,y = (4508, 2302)   RA, Dec = (06:03:03.288, 42:15:35.64) = (90.76370, 42.25990)   BPZ = 0.370 [0.045--1.845]   type = 11.00 (SB11_A_0_l)   stellarity = 0.91   chisq2 = 1147.00   ODDS = 0.14   z_cluster = 0.228