RXS0603+42-N IR detection object #3555

Color images and BPZ results
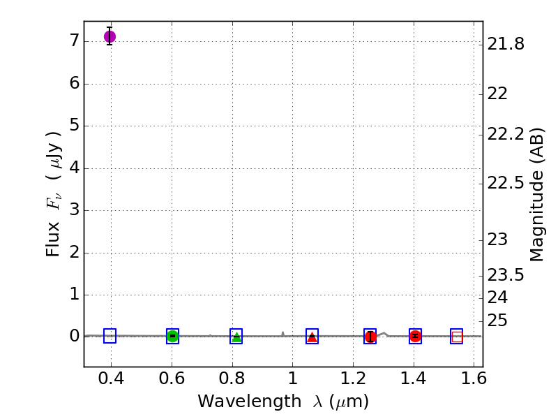
Catalog: 3555.cat
Black segments are analyzed here.   Roll mouse over color images to view segments.
Best viewed in a wide browser window (1200 pixels or more).   Download SED & P(z) plots to view larger versions.
In P(z) plots: Yellow lines mark the cluster redshift z = 0.228,  

Object #3555   x,y = (1589, 2315)   RA, Dec = (06:03:19.080, 42:15:36.72) = (90.82950, 42.26020)   BPZ = 1.598 [0.324--4.334]   type = 11.00 (SB11_A_0_l)   stellarity = 1.00   chisq2 = 381.90   ODDS = 0.12   z_cluster = 0.228