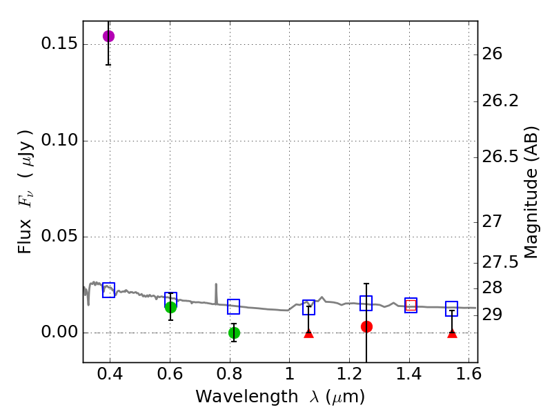
RXS0603+42-N IR detection object #3522

Color images and BPZ results
Catalog: 3522.cat
Black segments are analyzed here.   Roll mouse over color images to view segments.
Best viewed in a wide browser window (1200 pixels or more).   Download SED & P(z) plots to view larger versions.
In P(z) plots: Yellow lines mark the cluster redshift z = 0.228,  

Object #3522   x,y = (1645, 2331)   RA, Dec = (06:03:18.768, 42:15:37.44) = (90.82820, 42.26040)   BPZ = 1.697 [1.003--2.449]   type = 11.00 (SB11_A_0_l)   stellarity = 0.62   chisq2 = 28.35   ODDS = 0.34   z_cluster = 0.228