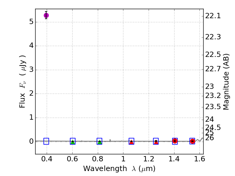
RXS0603+42-N IR detection object #3477

Color images and BPZ results
Catalog: 3477.cat
Black segments are analyzed here.   Roll mouse over color images to view segments.
Best viewed in a wide browser window (1200 pixels or more).   Download SED & P(z) plots to view larger versions.
In P(z) plots: Yellow lines mark the cluster redshift z = 0.228,  

Object #3477   x,y = (1573, 2343)   RA, Dec = (06:03:19.152, 42:15:38.16) = (90.82980, 42.26060)   BPZ = 1.409 [0.299--6.017]   type = 11.00 (SB11_A_0_l)   stellarity = 0.93   chisq2 = 280.70   ODDS = 0.09   z_cluster = 0.228