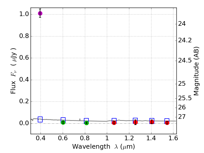
RXS0603+42-N IR detection object #3450

Color images and BPZ results
Catalog: 3450.cat
Black segments are analyzed here.   Roll mouse over color images to view segments.
Best viewed in a wide browser window (1200 pixels or more).   Download SED & P(z) plots to view larger versions.
In P(z) plots: Yellow lines mark the cluster redshift z = 0.228,  

Object #3450   x,y = (2355, 2352)   RA, Dec = (06:03:14.928, 42:15:38.88) = (90.81220, 42.26080)   BPZ = 1.699 [1.213--2.221]   type = 11.00 (SB11_A_0_l)   stellarity = 0.83   chisq2 = 154.50   ODDS = 0.47   z_cluster = 0.228