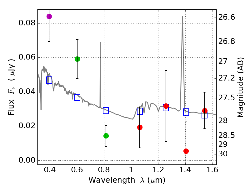
RXS0603+42-N IR detection object #3438

Color images and BPZ results
Catalog: 3438.cat
Black segments are analyzed here.   Roll mouse over color images to view segments.
Best viewed in a wide browser window (1200 pixels or more).   Download SED & P(z) plots to view larger versions.
In P(z) plots: Yellow lines mark the cluster redshift z = 0.228,  

Object #3438   x,y = (3001, 2357)   RA, Dec = (06:03:11.448, 42:15:39.24) = (90.79770, 42.26090)   BPZ = 1.764 [1.291--2.485]   type = 11.00 (SB11_A_0_l)   stellarity = 0.37   chisq2 = 4.16   ODDS = 0.31   z_cluster = 0.228