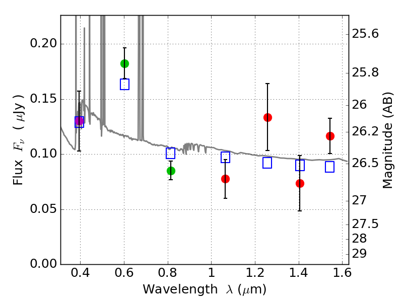
RXS0603+42-N IR detection object #3373

Color images and BPZ results
Catalog: 3373.cat
Black segments are analyzed here.   Roll mouse over color images to view segments.
Best viewed in a wide browser window (1200 pixels or more).   Download SED & P(z) plots to view larger versions.
In P(z) plots: Yellow lines mark the cluster redshift z = 0.228,  

Object #3373   x,y = (2303, 2377)   RA, Dec = (06:03:15.216, 42:15:40.32) = (90.81340, 42.26120)   BPZ = 0.025 [0.011--2.689]   type = 11.00 (SB11_A_0_l)   stellarity = 0.62   chisq2 = 1.86   ODDS = 0.59   z_cluster = 0.228