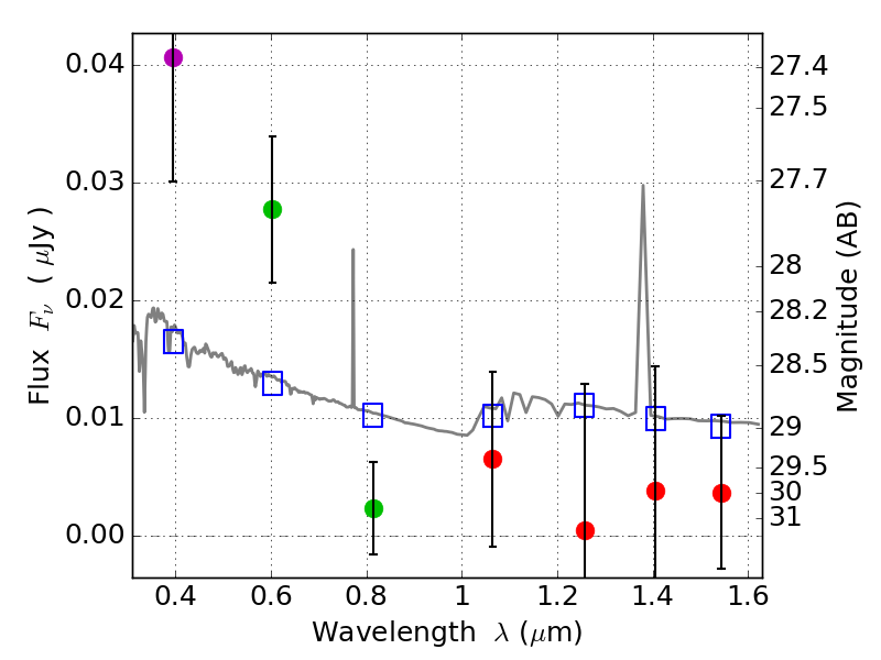
RXS0603+42-N IR detection object #3361

Color images and BPZ results
Catalog: 3361.cat
Black segments are analyzed here.   Roll mouse over color images to view segments.
Best viewed in a wide browser window (1200 pixels or more).   Download SED & P(z) plots to view larger versions.
In P(z) plots: Yellow lines mark the cluster redshift z = 0.228,  

Object #3361   x,y = (1680, 2383)   RA, Dec = (06:03:18.576, 42:15:40.68) = (90.82740, 42.26130)   BPZ = 1.765 [0.355--3.059]   type = 11.00 (SB11_A_0_l)   stellarity = 0.36   chisq2 = 4.08   ODDS = 0.19   z_cluster = 0.228