RXS0603+42-N IR detection object #3349

Color images and BPZ results
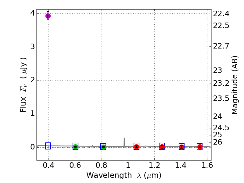
Catalog: 3349.cat
Black segments are analyzed here.   Roll mouse over color images to view segments.
Best viewed in a wide browser window (1200 pixels or more).   Download SED & P(z) plots to view larger versions.
In P(z) plots: Yellow lines mark the cluster redshift z = 0.228,  

Object #3349   x,y = (1631, 2384)   RA, Dec = (06:03:18.840, 42:15:40.68) = (90.82850, 42.26130)   BPZ = 1.611 [0.723--2.504]   type = 11.00 (SB11_A_0_l)   stellarity = 1.00   chisq2 = 262.00   ODDS = 0.25   z_cluster = 0.228