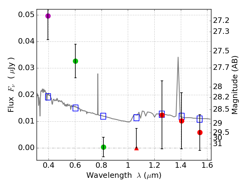
RXS0603+42-N IR detection object #3343

Color images and BPZ results
Catalog: 3343.cat
Black segments are analyzed here.   Roll mouse over color images to view segments.
Best viewed in a wide browser window (1200 pixels or more).   Download SED & P(z) plots to view larger versions.
In P(z) plots: Yellow lines mark the cluster redshift z = 0.228,  

Object #3343   x,y = (3265, 2388)   RA, Dec = (06:03:10.008, 42:15:41.04) = (90.79170, 42.26140)   BPZ = 1.761 [1.193--2.617]   type = 11.00 (SB11_A_0_l)   stellarity = 0.12   chisq2 = 7.62   ODDS = 0.30   z_cluster = 0.228