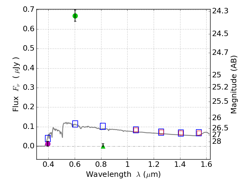
RXS0603+42-N IR detection object #3341

Color images and BPZ results
Catalog: 3341.cat
Black segments are analyzed here.   Roll mouse over color images to view segments.
Best viewed in a wide browser window (1200 pixels or more).   Download SED & P(z) plots to view larger versions.
In P(z) plots: Yellow lines mark the cluster redshift z = 0.228,  

Object #3341   x,y = (4565, 2420)   RA, Dec = (06:03:03.000, 42:15:42.84) = (90.76250, 42.26190)   BPZ = 3.168 [0.019--3.363]   type = 11.00 (SB11_A_0_l)   stellarity = 0.70   chisq2 = 412.60   ODDS = 0.79   z_cluster = 0.228