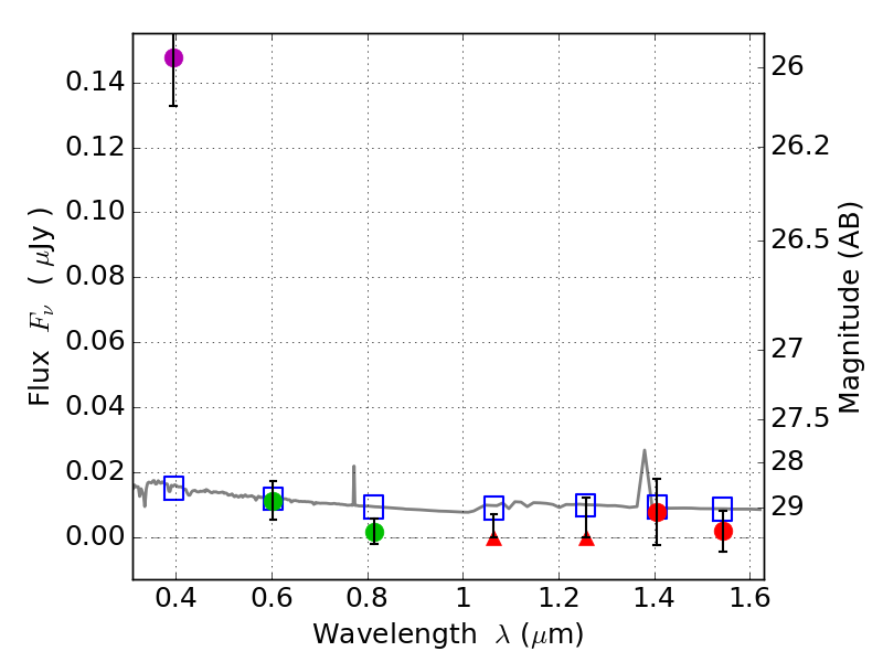
RXS0603+42-N IR detection object #3333

Color images and BPZ results
Catalog: 3333.cat
Black segments are analyzed here.   Roll mouse over color images to view segments.
Best viewed in a wide browser window (1200 pixels or more).   Download SED & P(z) plots to view larger versions.
In P(z) plots: Yellow lines mark the cluster redshift z = 0.228,  

Object #3333   x,y = (2268, 2391)   RA, Dec = (06:03:15.408, 42:15:41.04) = (90.81420, 42.26140)   BPZ = 1.762 [0.582--2.854]   type = 11.00 (SB11_A_0_l)   stellarity = 0.59   chisq2 = 21.04   ODDS = 0.24   z_cluster = 0.228