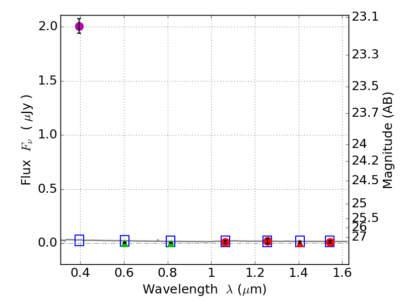
RXS0603+42-N IR detection object #3326

Color images and BPZ results
Catalog: 3326.cat
Black segments are analyzed here.   Roll mouse over color images to view segments.
Best viewed in a wide browser window (1200 pixels or more).   Download SED & P(z) plots to view larger versions.
In P(z) plots: Yellow lines mark the cluster redshift z = 0.228,  

Object #3326   x,y = (1700, 2528)   RA, Dec = (06:03:18.480, 42:15:49.32) = (90.82700, 42.26370)   BPZ = 1.701 [0.710--2.541]   type = 11.00 (SB11_A_0_l)   stellarity = 0.69   chisq2 = 226.90   ODDS = 0.28   z_cluster = 0.228