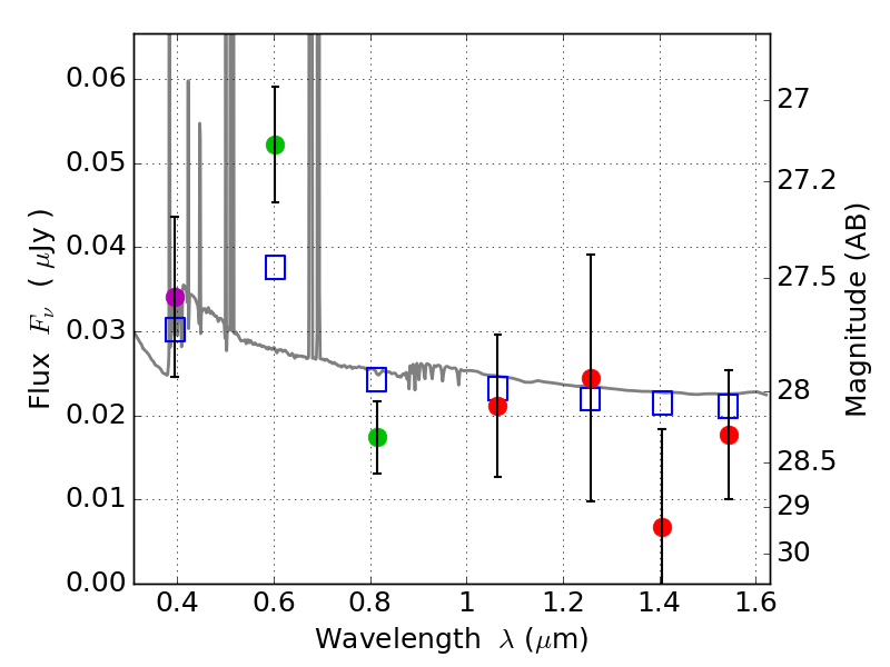
RXS0603+42-N IR detection object #3321

Color images and BPZ results
Catalog: 3321.cat
Black segments are analyzed here.   Roll mouse over color images to view segments.
Best viewed in a wide browser window (1200 pixels or more).   Download SED & P(z) plots to view larger versions.
In P(z) plots: Yellow lines mark the cluster redshift z = 0.228,  

Object #3321   x,y = (2401, 2395)   RA, Dec = (06:03:14.688, 42:15:41.40) = (90.81120, 42.26150)   BPZ = 0.031 [0.019--2.918]   type = 11.00 (SB11_A_0_l)   stellarity = 0.36   chisq2 = 1.94   ODDS = 0.15   z_cluster = 0.228