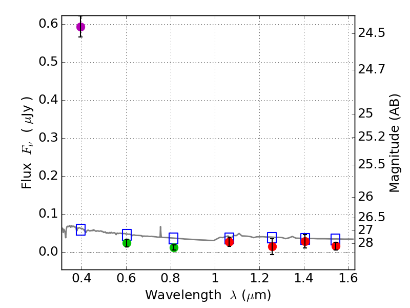
RXS0603+42-N IR detection object #3309

Color images and BPZ results
Catalog: 3309.cat
Black segments are analyzed here.   Roll mouse over color images to view segments.
Best viewed in a wide browser window (1200 pixels or more).   Download SED & P(z) plots to view larger versions.
In P(z) plots: Yellow lines mark the cluster redshift z = 0.228,  

Object #3309   x,y = (2242, 2398)   RA, Dec = (06:03:15.552, 42:15:41.40) = (90.81480, 42.26150)   BPZ = 1.701 [1.464--1.999]   type = 11.00 (SB11_A_0_l)   stellarity = 0.68   chisq2 = 99.35   ODDS = 0.67   z_cluster = 0.228