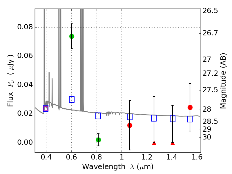
RXS0603+42-N IR detection object #3255

Color images and BPZ results
Catalog: 3255.cat
Black segments are analyzed here.   Roll mouse over color images to view segments.
Best viewed in a wide browser window (1200 pixels or more).   Download SED & P(z) plots to view larger versions.
In P(z) plots: Yellow lines mark the cluster redshift z = 0.228,  

Object #3255   x,y = (1526, 2415)   RA, Dec = (06:03:19.416, 42:15:42.48) = (90.83090, 42.26180)   BPZ = 0.027 [0.029--3.257]   type = 11.00 (SB11_A_0_l)   stellarity = 0.64   chisq2 = 12.64   ODDS = 0.05   z_cluster = 0.228