RXS0603+42-N IR detection object #3237

Color images and BPZ results
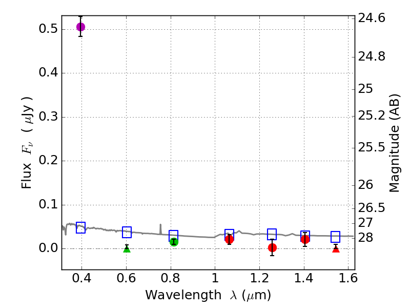
Catalog: 3237.cat
Black segments are analyzed here.   Roll mouse over color images to view segments.
Best viewed in a wide browser window (1200 pixels or more).   Download SED & P(z) plots to view larger versions.
In P(z) plots: Yellow lines mark the cluster redshift z = 0.228,  

Object #3237   x,y = (2006, 2427)   RA, Dec = (06:03:16.824, 42:15:43.20) = (90.82010, 42.26200)   BPZ = 1.703 [1.379--1.997]   type = 11.00 (SB11_A_0_l)   stellarity = 0.71   chisq2 = 111.20   ODDS = 0.67   z_cluster = 0.228