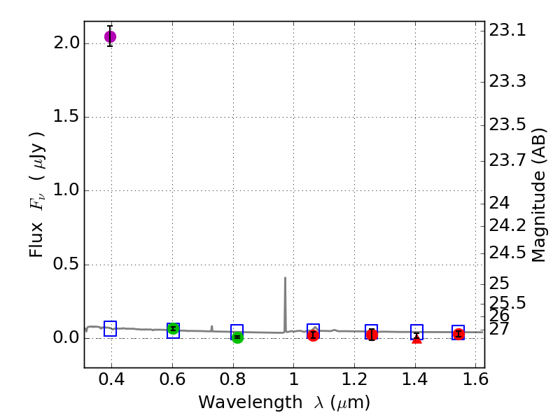
RXS0603+42-N IR detection object #3232

Color images and BPZ results
Catalog: 3232.cat
Black segments are analyzed here.   Roll mouse over color images to view segments.
Best viewed in a wide browser window (1200 pixels or more).   Download SED & P(z) plots to view larger versions.
In P(z) plots: Yellow lines mark the cluster redshift z = 0.228,  

Object #3232   x,y = (1619, 2425)   RA, Dec = (06:03:18.912, 42:15:43.20) = (90.82880, 42.26200)   BPZ = 1.611 [1.424--2.131]   type = 11.00 (SB11_A_0_l)   stellarity = 0.97   chisq2 = 211.80   ODDS = 0.43   z_cluster = 0.228