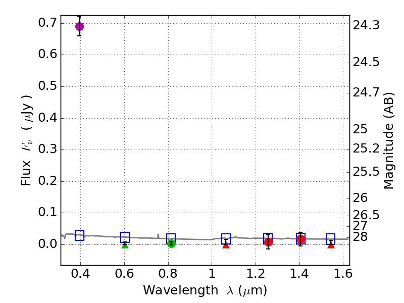
RXS0603+42-N IR detection object #3219

Color images and BPZ results
Catalog: 3219.cat
Black segments are analyzed here.   Roll mouse over color images to view segments.
Best viewed in a wide browser window (1200 pixels or more).   Download SED & P(z) plots to view larger versions.
In P(z) plots: Yellow lines mark the cluster redshift z = 0.228,  

Object #3219   x,y = (1637, 2432)   RA, Dec = (06:03:18.816, 42:15:43.56) = (90.82840, 42.26210)   BPZ = 1.698 [0.997--2.281]   type = 11.00 (SB11_A_0_l)   stellarity = 0.96   chisq2 = 114.50   ODDS = 0.41   z_cluster = 0.228