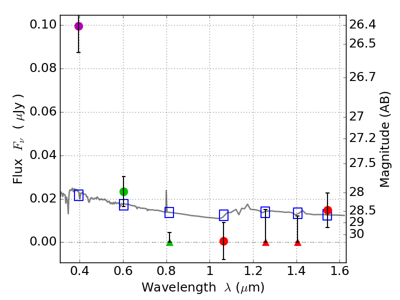
RXS0603+42-N IR detection object #3214

Color images and BPZ results
Catalog: 3214.cat
Black segments are analyzed here.   Roll mouse over color images to view segments.
Best viewed in a wide browser window (1200 pixels or more).   Download SED & P(z) plots to view larger versions.
In P(z) plots: Yellow lines mark the cluster redshift z = 0.228,  

Object #3214   x,y = (2933, 2433)   RA, Dec = (06:03:11.808, 42:15:43.56) = (90.79920, 42.26210)   BPZ = 1.859 [1.145--2.464]   type = 11.00 (SB11_A_0_l)   stellarity = 0.47   chisq2 = 13.23   ODDS = 0.29   z_cluster = 0.228