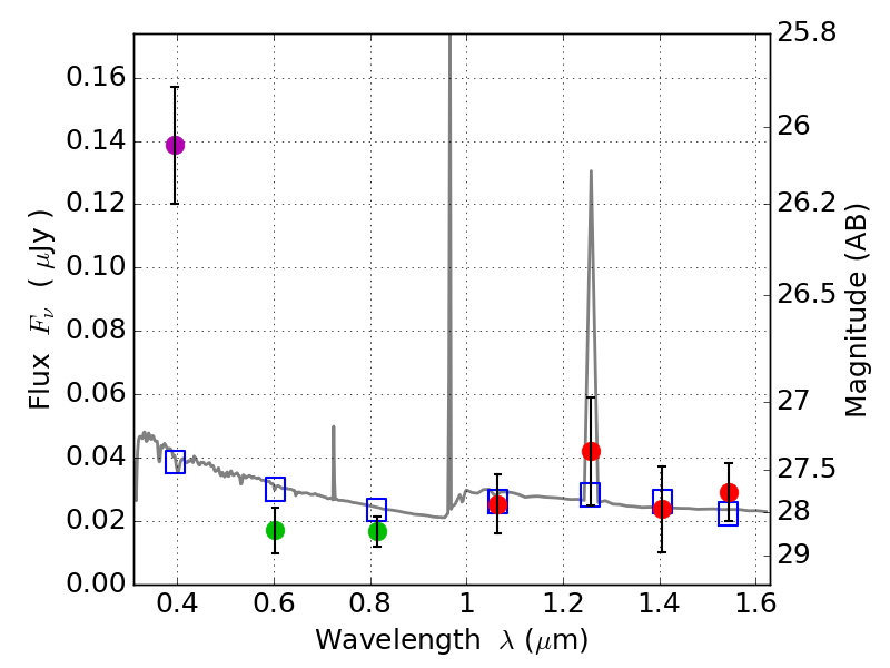
RXS0603+42-N IR detection object #3198

Color images and BPZ results
Catalog: 3198.cat
Black segments are analyzed here.   Roll mouse over color images to view segments.
Best viewed in a wide browser window (1200 pixels or more).   Download SED & P(z) plots to view larger versions.
In P(z) plots: Yellow lines mark the cluster redshift z = 0.228,  

Object #3198   x,y = (2183, 2425)   RA, Dec = (06:03:15.864, 42:15:43.20) = (90.81610, 42.26200)   BPZ = 1.595 [0.977--2.287]   type = 11.00 (SB11_A_0_l)   stellarity = 0.68   chisq2 = 8.60   ODDS = 0.28   z_cluster = 0.228