RXS0603+42-N IR detection object #3182

Color images and BPZ results
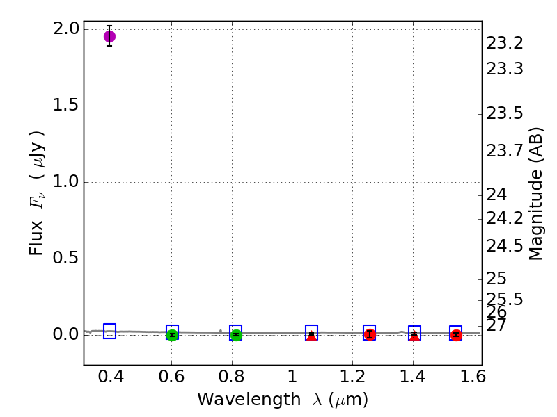
Catalog: 3182.cat
Black segments are analyzed here.   Roll mouse over color images to view segments.
Best viewed in a wide browser window (1200 pixels or more).   Download SED & P(z) plots to view larger versions.
In P(z) plots: Yellow lines mark the cluster redshift z = 0.228,  

Object #3182   x,y = (1674, 2444)   RA, Dec = (06:03:18.624, 42:15:44.28) = (90.82760, 42.26230)   BPZ = 1.731 [0.521--5.495]   type = 11.00 (SB11_A_0_l)   stellarity = 0.68   chisq2 = 224.30   ODDS = 0.22   z_cluster = 0.228