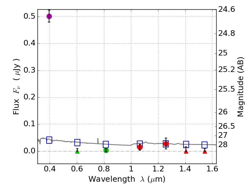
RXS0603+42-N IR detection object #3179

Color images and BPZ results
Catalog: 3179.cat
Black segments are analyzed here.   Roll mouse over color images to view segments.
Best viewed in a wide browser window (1200 pixels or more).   Download SED & P(z) plots to view larger versions.
In P(z) plots: Yellow lines mark the cluster redshift z = 0.228,  

Object #3179   x,y = (2737, 2445)   RA, Dec = (06:03:12.864, 42:15:44.28) = (90.80360, 42.26230)   BPZ = 1.701 [1.378--2.028]   type = 11.00 (SB11_A_0_l)   stellarity = 0.86   chisq2 = 111.70   ODDS = 0.65   z_cluster = 0.228