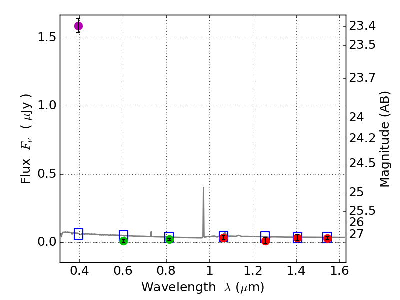
RXS0603+42-N IR detection object #3158

Color images and BPZ results
Catalog: 3158.cat
Black segments are analyzed here.   Roll mouse over color images to view segments.
Best viewed in a wide browser window (1200 pixels or more).   Download SED & P(z) plots to view larger versions.
In P(z) plots: Yellow lines mark the cluster redshift z = 0.228,  

Object #3158   x,y = (2087, 2451)   RA, Dec = (06:03:16.392, 42:15:44.64) = (90.81830, 42.26240)   BPZ = 1.611 [1.212--2.084]   type = 11.00 (SB11_A_0_l)   stellarity = 0.85   chisq2 = 202.20   ODDS = 0.43   z_cluster = 0.228