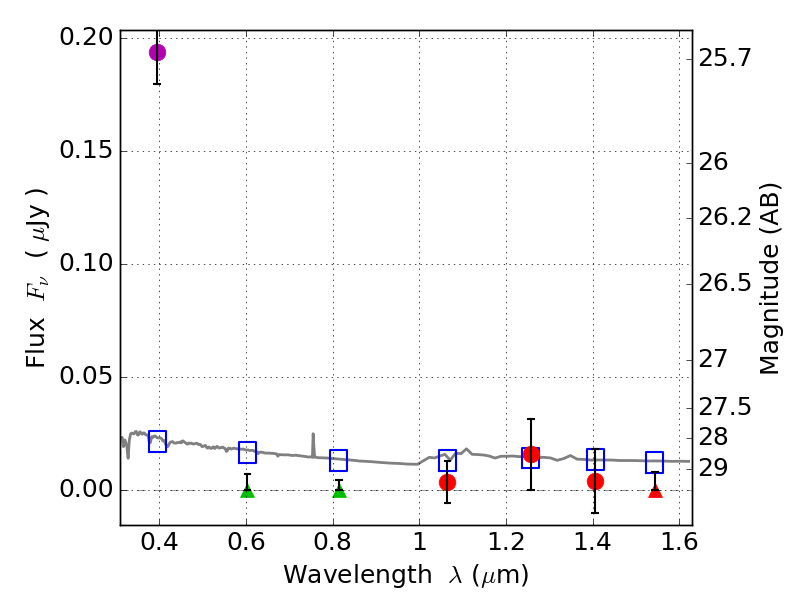
RXS0603+42-N IR detection object #3154

Color images and BPZ results
Catalog: 3154.cat
Black segments are analyzed here.   Roll mouse over color images to view segments.
Best viewed in a wide browser window (1200 pixels or more).   Download SED & P(z) plots to view larger versions.
In P(z) plots: Yellow lines mark the cluster redshift z = 0.228,  

Object #3154   x,y = (3327, 2454)   RA, Dec = (06:03:09.672, 42:15:45.00) = (90.79030, 42.26250)   BPZ = 1.698 [0.984--2.287]   type = 11.00 (SB11_A_0_l)   stellarity = 0.64   chisq2 = 40.02   ODDS = 0.42   z_cluster = 0.228