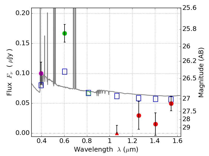
RXS0603+42-N IR detection object #3139

Color images and BPZ results
Catalog: 3139.cat
Black segments are analyzed here.   Roll mouse over color images to view segments.
Best viewed in a wide browser window (1200 pixels or more).   Download SED & P(z) plots to view larger versions.
In P(z) plots: Yellow lines mark the cluster redshift z = 0.228,  

Object #3139   x,y = (1757, 2461)   RA, Dec = (06:03:18.168, 42:15:45.36) = (90.82570, 42.26260)   BPZ = 0.040 [0.011--2.728]   type = 11.00 (SB11_A_0_l)   stellarity = 0.41   chisq2 = 13.32   ODDS = 0.84   z_cluster = 0.228