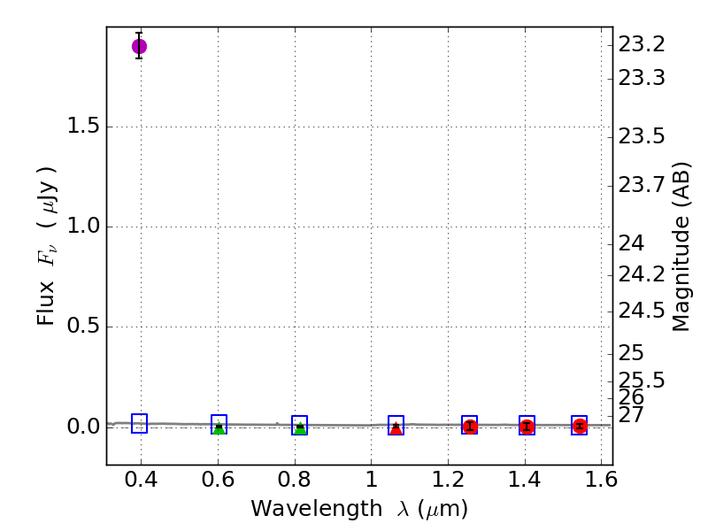
RXS0603+42-N IR detection object #3104

Color images and BPZ results
Catalog: 3104.cat
Black segments are analyzed here.   Roll mouse over color images to view segments.
Best viewed in a wide browser window (1200 pixels or more).   Download SED & P(z) plots to view larger versions.
In P(z) plots: Yellow lines mark the cluster redshift z = 0.228,  

Object #3104   x,y = (1663, 2467)   RA, Dec = (06:03:18.672, 42:15:45.72) = (90.82780, 42.26270)   BPZ = 1.699 [0.446--5.551]   type = 11.00 (SB11_A_0_l)   stellarity = 0.97   chisq2 = 228.80   ODDS = 0.17   z_cluster = 0.228