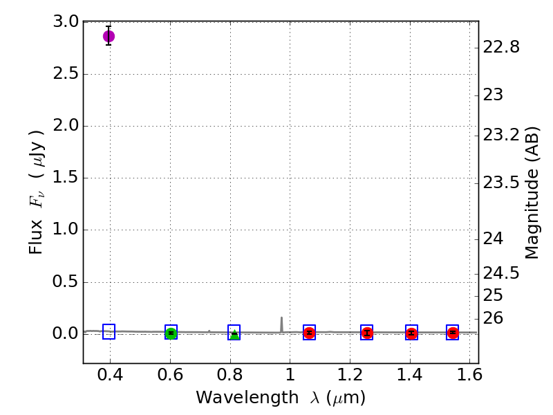
RXS0603+42-N IR detection object #3102

Color images and BPZ results
Catalog: 3102.cat
Black segments are analyzed here.   Roll mouse over color images to view segments.
Best viewed in a wide browser window (1200 pixels or more).   Download SED & P(z) plots to view larger versions.
In P(z) plots: Yellow lines mark the cluster redshift z = 0.228,  

Object #3102   x,y = (1669, 2472)   RA, Dec = (06:03:18.648, 42:15:46.08) = (90.82770, 42.26280)   BPZ = 1.611 [0.573--3.029]   type = 11.00 (SB11_A_0_l)   stellarity = 0.99   chisq2 = 256.70   ODDS = 0.19   z_cluster = 0.228