RXS0603+42-N IR detection object #3093

Color images and BPZ results
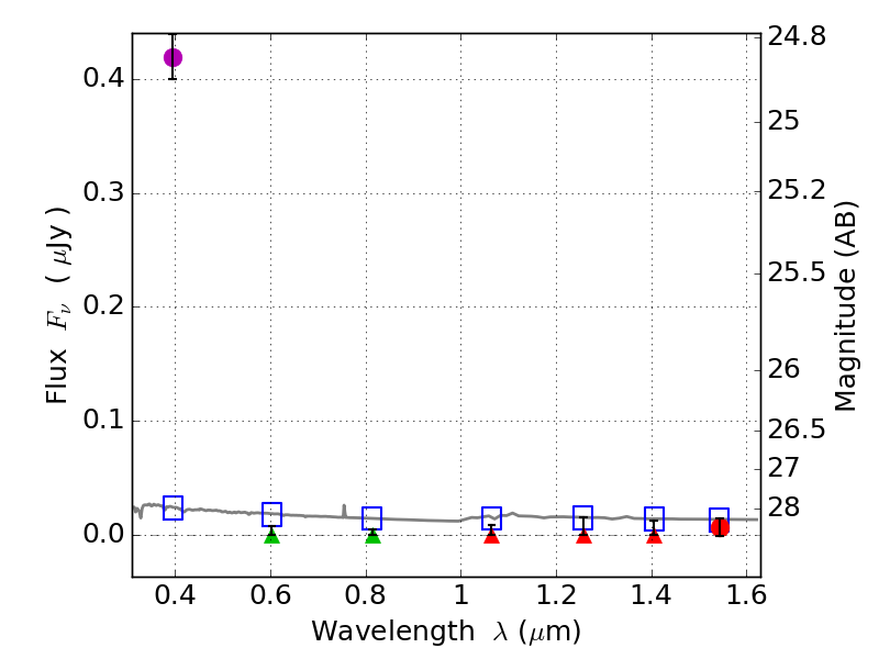
Catalog: 3093.cat
Black segments are analyzed here.   Roll mouse over color images to view segments.
Best viewed in a wide browser window (1200 pixels or more).   Download SED & P(z) plots to view larger versions.
In P(z) plots: Yellow lines mark the cluster redshift z = 0.228,  

Object #3093   x,y = (2161, 2475)   RA, Dec = (06:03:15.984, 42:15:46.08) = (90.81660, 42.26280)   BPZ = 1.700 [1.138--2.256]   type = 11.00 (SB11_A_0_l)   stellarity = 0.95   chisq2 = 103.20   ODDS = 0.41   z_cluster = 0.228