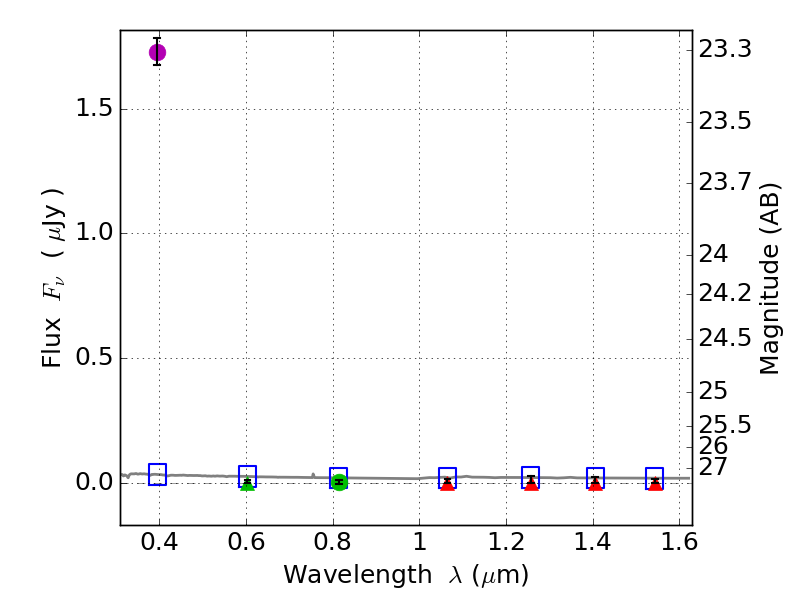
RXS0603+42-N IR detection object #3070

Color images and BPZ results
Catalog: 3070.cat
Black segments are analyzed here.   Roll mouse over color images to view segments.
Best viewed in a wide browser window (1200 pixels or more).   Download SED & P(z) plots to view larger versions.
In P(z) plots: Yellow lines mark the cluster redshift z = 0.228,  

Object #3070   x,y = (2062, 2487)   RA, Dec = (06:03:16.512, 42:15:46.80) = (90.81880, 42.26300)   BPZ = 1.700 [0.877--2.391]   type = 11.00 (SB11_A_0_l)   stellarity = 0.81   chisq2 = 237.90   ODDS = 0.36   z_cluster = 0.228