RXS0603+42-N IR detection object #3069

Color images and BPZ results
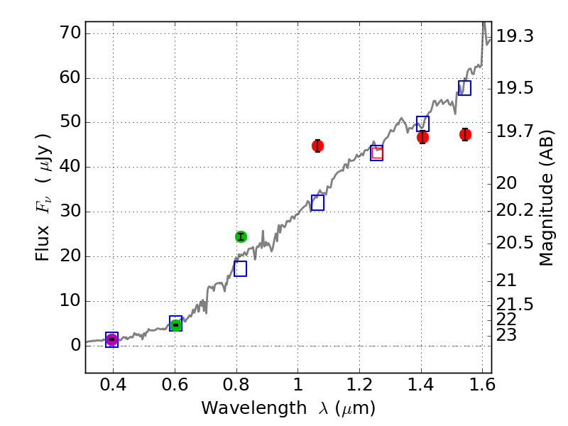
Catalog: 3069.cat
Black segments are analyzed here.   Roll mouse over color images to view segments.
Best viewed in a wide browser window (1200 pixels or more).   Download SED & P(z) plots to view larger versions.
In P(z) plots: Yellow lines mark the cluster redshift z = 0.228,  

Object #3069   x,y = (3917, 2432)   RA, Dec = (06:03:06.480, 42:15:43.56) = (90.77700, 42.26210)   BPZ = 0.771 [0.636--0.791]   type = 5.80 (Sbc_B10 - ES0_B10)   stellarity = 0.74   chisq2 = 6.68   ODDS = 0.59   z_cluster = 0.228