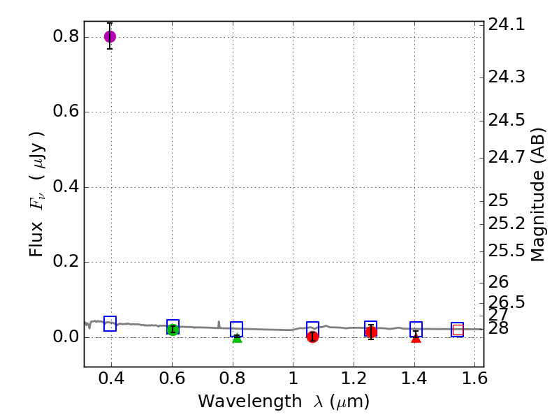
RXS0603+42-N IR detection object #3057

Color images and BPZ results
Catalog: 3057.cat
Black segments are analyzed here.   Roll mouse over color images to view segments.
Best viewed in a wide browser window (1200 pixels or more).   Download SED & P(z) plots to view larger versions.
In P(z) plots: Yellow lines mark the cluster redshift z = 0.228,  

Object #3057   x,y = (1658, 2487)   RA, Dec = (06:03:18.696, 42:15:46.80) = (90.82790, 42.26300)   BPZ = 1.700 [1.308--2.241]   type = 11.00 (SB11_A_0_l)   stellarity = 0.69   chisq2 = 163.40   ODDS = 0.36   z_cluster = 0.228