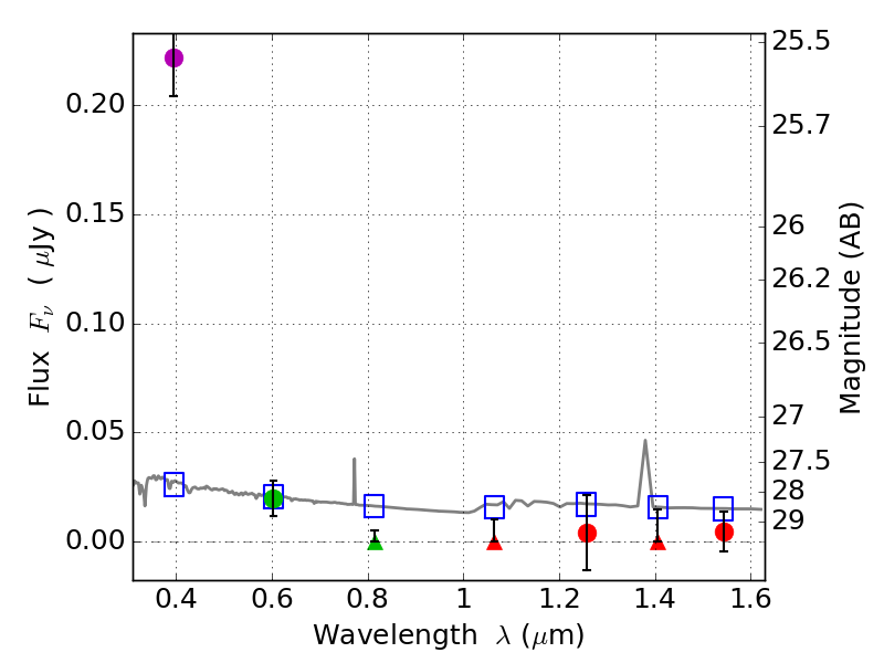
RXS0603+42-N IR detection object #3046

Color images and BPZ results
Catalog: 3046.cat
Black segments are analyzed here.   Roll mouse over color images to view segments.
Best viewed in a wide browser window (1200 pixels or more).   Download SED & P(z) plots to view larger versions.
In P(z) plots: Yellow lines mark the cluster redshift z = 0.228,  

Object #3046   x,y = (2098, 2495)   RA, Dec = (06:03:16.320, 42:15:47.52) = (90.81800, 42.26320)   BPZ = 1.763 [1.129--2.357]   type = 11.00 (SB11_A_0_l)   stellarity = 0.52   chisq2 = 33.27   ODDS = 0.38   z_cluster = 0.228